Normali Climatici

Stazione Meteo - Osservatorio Astronomico di Palermo

Introduzione ai Normali Climatici

I normali climatici rappresentano i valori medi delle variabili meteorologiche calcolati su un periodo di riferimento di 30 anni, secondo gli standard definiti dall'Organizzazione Meteorologica Mondiale (WMO).

Cos'è un Normale Climatico?

Un normale climatico è la media di un parametro meteorologico (temperatura, precipitazione, etc.) calcolata su un periodo di 30 anni consecutivi. Questo periodo di riferimento permette di caratterizzare il clima di una località.

Periodi di Riferimento

I normali vengono aggiornati ogni decennio. Attualmente il periodo di riferimento standard è 1991-2020, ma vengono mantenuti i calcoli per tutti i periodi trentennali disponibili nella serie storica.

Importanza Scientifica

I normali climatici sono fondamentali per studiare i cambiamenti climatici, confrontare le condizioni meteorologiche attuali con quelle del passato e supportare la ricerca in climatologia.

Parametri Calcolati

La stazione meteo dell'Osservatorio Astronomico di Palermo calcola i normali per le seguenti grandezze meteorologiche:

🌡️ Temperature

Temperatura Minima (Tmin): Valore minimo giornaliero

Temperatura Media (Tavg): Media di (Tmin + Tmax)/2

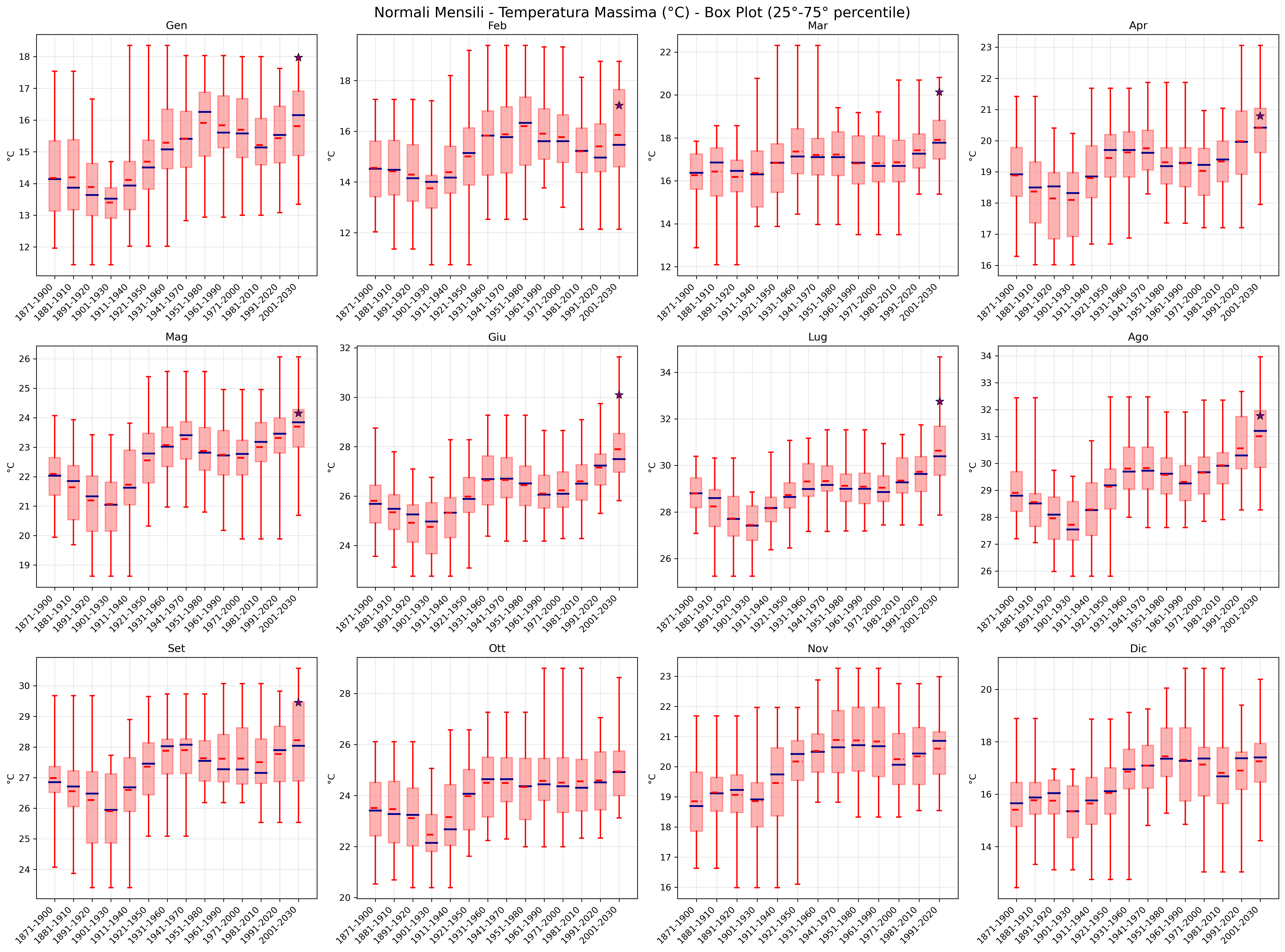
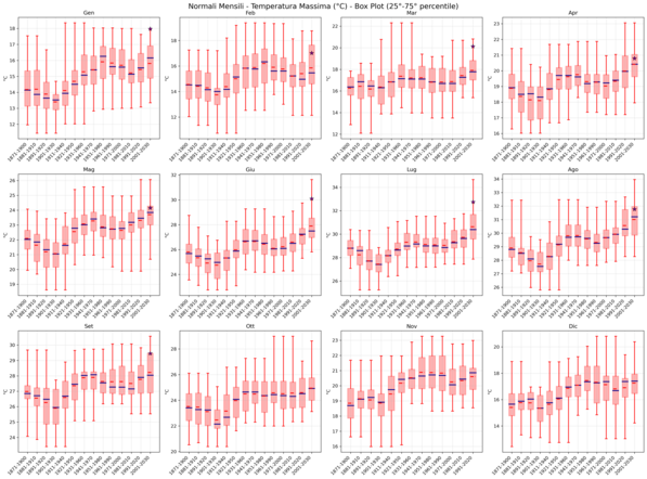
Temperatura Massima (Tmax): Valore massimo giornaliero

🌧️ Precipitazioni

Precipitazione Totale (Rain): Somma delle precipitazioni giornaliere

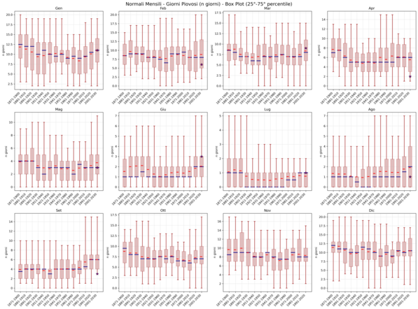
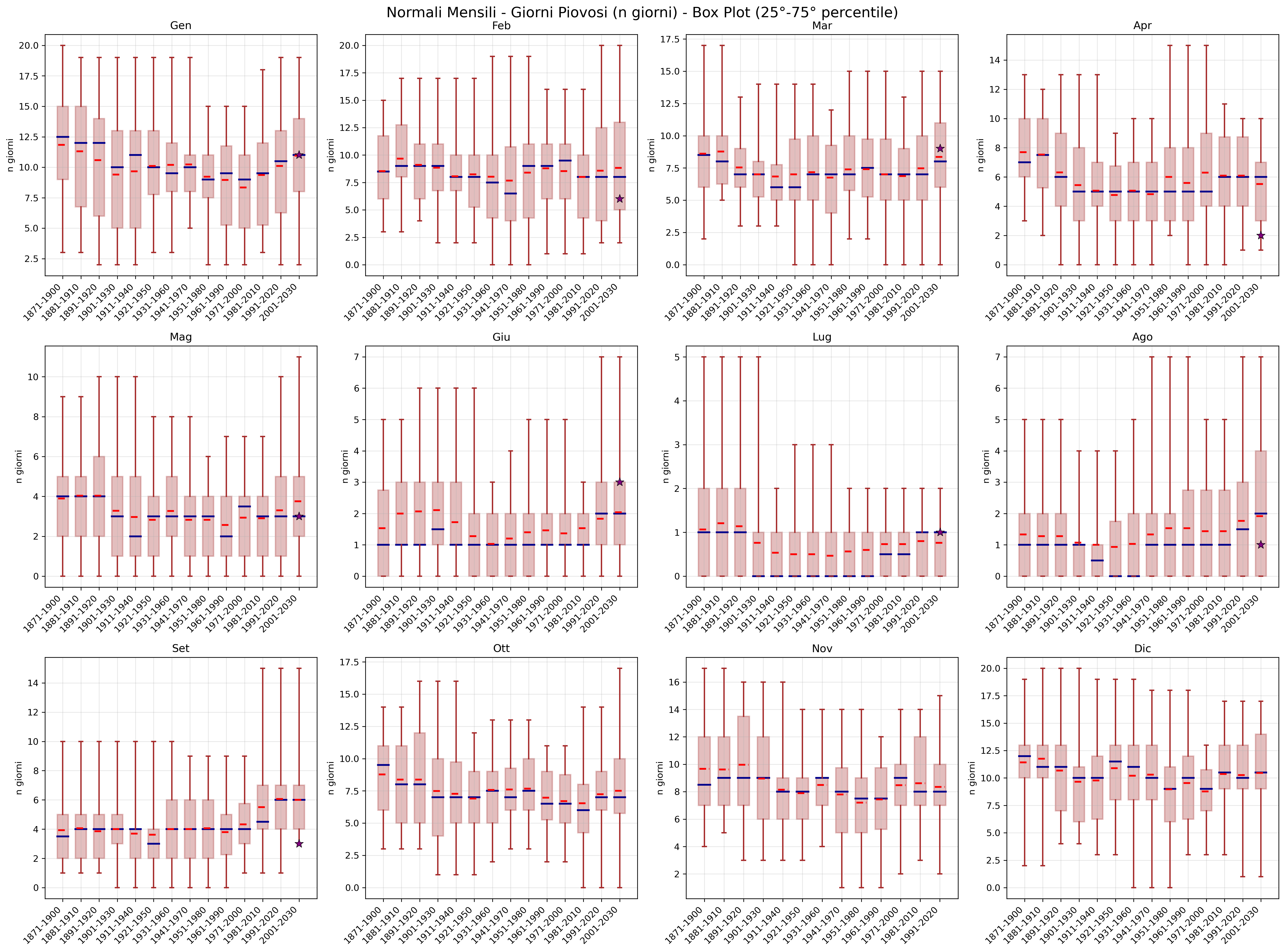
Giorni Piovosi: Giorni con pioggia > 1 mm

Giorni Pioggia Eccezionale: Giorni con pioggia > 10 mm

📊 Indicatori Derivati

Intensità di Pioggia: Rapporto tra pioggia totale e giorni piovosi

Statistiche: Mediana, percentili 25-75, valori estremi

Metodologia di Calcolo

Validazione dei Dati

Per garantire l'affidabilità dei normali, vengono applicati rigorosi criteri di validazione:

  • Temperature: Massimo 5 giorni mancanti per mese, massimo 3 giorni consecutivi mancanti
  • Precipitazioni: Richiesta la presenza di tutti i giorni del mese
  • Normali Annuali: Richiesti tutti i 12 mesi validi

Calcolo dei Normali

I normali vengono calcolati secondo gli standard WMO:

  • Normali Mensili: Media dei valori mensili del trentennio
  • Normali Annuali: Per temperature e intensità: media dei 12 normali mensili. Per precipitazioni: somma dei 12 normali mensili
  • Statistiche: Calcolate direttamente sulla distribuzione dei valori annuali completi

Qualità dei Dati

La qualità dei dati è monitorata attraverso:

  • Controlli di coerenza temporale
  • Verifica dei valori anomali
  • Documentazione dei mesi esclusi dal calcolo
  • Validazione incrociata con stazioni vicine

Grafici dei Normali Climatici

I seguenti grafici mostrano l'evoluzione dei normali climatici attraverso i diversi periodi trentennali dal 1871 fino ad oggi. Le stelle di colore scuro dentro l'ultimo trentennio marcano i valori medi mensili dell'anno in corso, per un rapido raffronto della situazione attuale con il clima del passato.

Temperature Mensili

Precipitazioni Mensili

Indicatori Derivati

Normali Annuali

Download dei Dati

Tutti i dati calcolati sono disponibili per il download in formato CSV. I file includono i normali mensili e annuali per tutti i periodi trentennali disponibili.

Struttura dei Dati dei File

Campo Descrizione Unità di Misura
periodo Periodo trentennale di riferimento AAAA-AAAA
annuale Normale annuale del parametro Vedi parametro
Gen ... Dic Normali mensili da Gennaio a Dicembre Vedi parametro

Unità di Misura

Parametro Unità Descrizione
Temperatura °C Gradi Celsius
Precipitazione mm Millimetri
Giorni Piovosi n Numero di giorni
Intensità Pioggia mm/giorno Millimetri per giorno piovoso